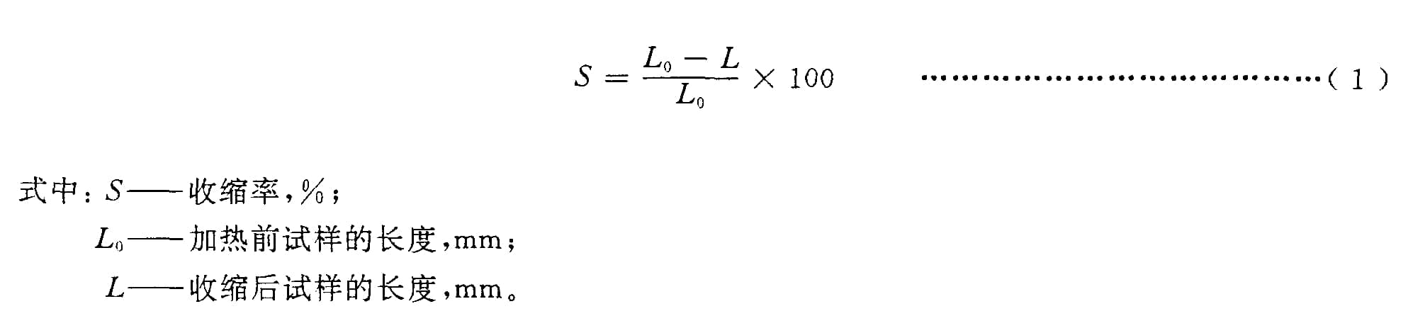
對于熱收縮塑料薄膜來說,熱收縮率及熱收縮比是其非常重要的性能指標。通常來說,塑料薄膜熱收縮率的性能測試方法有烘箱法、空氣加熱法以及油浴法,這三種方法由于參考的標準不一樣,所以沒有可比性。在這里我們就以GB 13519 油浴法為例,介紹下塑料薄膜熱收縮率及收縮比的試驗方法。
一、塑料薄膜熱收縮率及收縮比試驗方法
1、試驗裝置:熱收縮儀RSY-03
2、液體傳熱介質:傳熱介質的選擇,以對試樣無影響為原則。一般選用甘油。
3、框架:兩個嵌有金屬網的框架,其尺寸略大于試樣。兩金屬網間距離為1~3 mm,應不影響試樣的自由收縮。
4、試驗步驟
在試樣縱向和橫向各畫一條對稱軸作標記,并標明縱、橫向,將試樣平放入兩框架間,接著,迅速浸入120±2℃的恒溫介質中自由收縮,20 s后取出,浸入備用的常溫浴中,冷卻5 s后取出試樣,水平靜置,在30 min內測量縱橫對稱軸尺寸。精確到1 mm,并記錄測量數據。
二、熱收縮率熱收縮比的計算方法
1、計算方法
(1)、收縮率熱收縮比計算方法

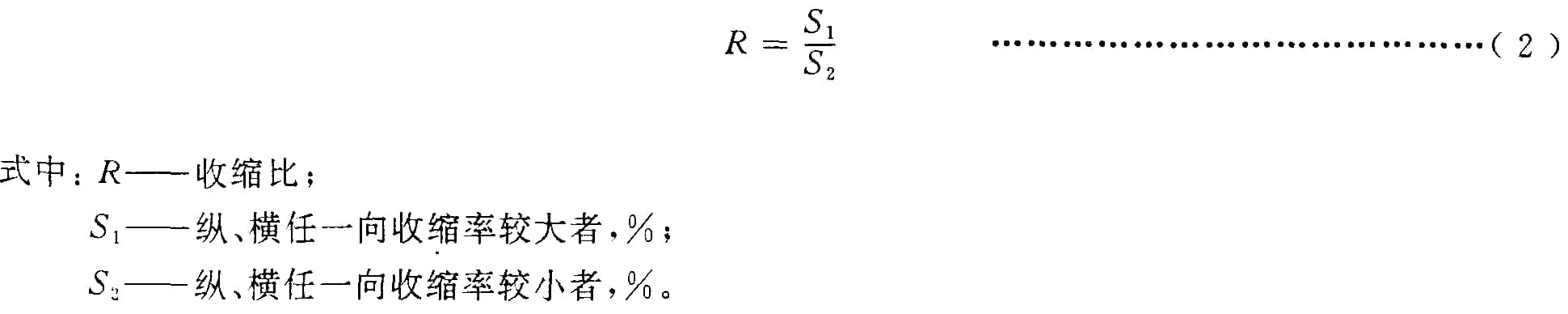
(2)、收縮比按式(2)計算:

2、試驗結果
試驗結果以三組試樣試驗結果的算術平均值表示,取兩位有效數字。收縮率小于或等于0%時收縮比均作為1。

濟南三泉中石實驗儀器研發生產的熱收縮儀RSY-03就是采用油浴法方式來測量計算塑料薄膜熱收縮率及收縮比,儀器采用微電腦控制,PVC菜單式操作界面,操作簡單方便,廣泛應用于塑料薄膜基材(PVC膜、POF膜、PE膜、PET膜、OPS膜等熱縮膜)、軟包裝復合膜 、PVC聚氯乙烯硬片、太陽能電池背板及其他具有受熱收縮性能的材料的熱收縮性能檢測。
地址:山東省濟南市市中區綠地泉景雅園商務大廈16層
電話:15665715386
郵箱:1684212232@qq.com